Welcome to Ned Wright's Cosmology Tutorial

News of the Universe
Frequently Asked Questions
Enter the tutorial or the Italian version    or the French version   
Cosmological fads and fallacies

Cosmology and art


CMB Spectrum
CMB Anisotropy
Big Bang Nucleosynthesis
Supernova Observations
Cosmology, Religion & Kansas
Send me your comments

New on the tutorial:

Cosmology is the study of the origin, current state, and future of our Universe. This field has been revolutionized by many discoveries made during the past century. My cosmology tutorial is an attempt to summarize these discoveries. It will be "under construction" for the foreseeable future as new discoveries are made. I will attempt to keep these pages up-to-date as a resource for the cosmology courses I teach at UCLA. The tutorial is completely non-commercial, but tax deductible donations to UCLA are always welcome.

Astronomy and cosmology are very much mathematical sciences, but I have attempted to avoid higher math in these pages. I do use high school algebra and geometry - courses required for admission to UCLA - but I have also included some animations [expanding balloon, photons can't outrun the Big Bang, microlensing, cluster lensing, inflating bubble, equal power on all scales, Shapiro delay], some Java applets [expanding balloon, redshift guessing game], and many illustrations in the tutorials, the ABC's of Distances, and the answers to some of the Frequently Asked Questions.

In addition to the cosmology tutorial, there is also a relativity tutorial and extensive discussions on the age, density and size of the Universe. There is also a bibliography of books at a range of levels, and a Javascript calculator of the many distances involved in cosmology.

Slides for recent talks:

The course notes (131 pages, 403 equations, 51 figures) for the upper division undergraduate Stellar Systems and Cosmology course, Astronomy 140, that I last taught in spring 2008 are available on the Web. And for a much more technical discussion of cosmology see my graduate course Astro 275 lecture notes (141 pages, 441 equations, 48 figures). This course was last taught in the spring of 2015.

News of the Universe

New Hubble Constant from Lensed Quasar Time Delays

04 Jun 2025 - The TDCOSMO project has published a new value for the Hubble constant, H0 = 72.1 ± 4 km/sec/Mpc. This is consistent with the local value from the distance ladder but independent of the distance ladder.

More News from DESI

18 Mar 2025 - The DESI group has published new results based on 2 years of data. The evidence for an equation of state w that is different than -1 has increased. If w is not -1, then the density of dark energy changes with time or redshift. But w can also change with time, which leads to a second derivative of the dark energy density with time. Click here for a graph of the dark energy density vs a = 1/(1+z) when w = -0.752-0.86*z/(1+z), which is the best fit to the DESI+CMB+ Dark Energy Survey 5 year (DESY5) supernova data. The red curve is the DESI year 1 data, while the black curve is for the new 2 year data. Different SNe datasets give different amounts of time variation; the DESY5 dataset in black gives the largest effect. The Pantheon+ SNe data gives the smallest effect shown in blue. These data can be fit fairly well with a w = -1 model, but the time varying model is a statistically better fit.

News from DESI

05 Apr 2024 - The Dark Energy Spectroscopic Instrument (DESI) released several papers describing their results. The cosmological parameter paper gives many interesting results, but the most newsworthy is that the equation of state w - which is the ratio of the pressure to the energy density for the dark energy - appears to vary with redshift. This result has a statistical significance of about 3 sigma. If w is not -1, then the dark energy density varies with redshift: if w < -1 then the dark energy density goes up as the Universe expands, while for w > -1 the dark energy density goes down as the Universe expands. With a varying w as suggested by DESI, the dark energy density goes through a maximum at a fairly small redshift. The maximum value of the dark energy density is only a few percent higher than the current value. Click here for a graph of the dark energy density vs a = 1/(1+z) when w = -0.827-0.75*z/(1+z), which is the best fit to the DESI+CMB+Pantheon+ supernova data. This same data, when fit to a model with a fixed w, gives w = -0.997 ± 0.025 and a Hubble constant H0 = 67.74 ± 0.71 km/sec/Mpc.

An Incorrect Older Age for the Universe

07 Jul 2023 - Rajendra Gupta recently created a splash [ 1, 2, 3, 4] by claiming that he could model the cosmology data with a model having a long age like 26.7 Gyr. This model uses two sources for the redshift: a tired light component and an expansion component. But any tired light component fails to give the correct photon number density in the CMB. See Errors in Tired Light Cosmology for this and other failures of tired light.

Gupta is also proposing a time varying gravitational constant G, with a large value of 4x10-10/year for (dG/dt)/G. He incorrectly claims that if the velocity of light also varies with G ~ c3 then this variation would not be ruled out by lunar laser ranging. Gupta's error is in ignoring the conservation of angular momentum when varying G. If one does conserve angular momentum, the orbital radius goes like 1/G since the angular momentum per unit mass of a test body is sqrt(GMa). This is just like an ice skater pulling in her arms and spinning faster. More inward pull (more G) causes her arms to come in (smaller a) and the spin rate to go up (shorter orbital period). Then the echo return time goes down as G-4/3 or an extra change in the echo return time equivalent to a distance change of -20 cm/year which is definitely not observed. The orbital period also goes down which is also not observed.

JWST and High Redshift Galaxies

12 Dec 2022 - JWST launched on 25 Dec 2021 and spent 6 months unfolding and deploying the optics and sunshade, and radiatively cooling to about 40 K. Since that time it has been making extremely sensitive observations including very deep imaging of numerous fields. A large number of papers have reported high redshift galaxies based on photometric redshifts which fit data taken with filters giving R=5, where R is the spectral resolution (1/R = Δλ/λ = 0.2). Photometric redshifts are model-dependent and subject to occasional abiguities where there are two (or more) possible models that fit the data. But now there are two papers describing spectroscopic redshifts using R=100 data:

  1. Emma Curtis-Lake et al. reports on 4 galaxies with redshift z > 10 in a well-studied sky field. This paper finds no lines which rules out possible lower redshift models. With the spectroscopic data the redshifts are z = 10.37, 11.48, 12.60, and 13.17.
  2. Hayley Williams et al. reports on a gravitationally lensed galaxy with a redshift of 9.51 from 6 identified spectral lines.

A New Quasar Record Redshift z = 7.654

12 Jan 2021 - Wang et al. report a luminous high redshift quasar, J0313-1806, found by comparing Pan-STARRS data with infrared surveys from UKIRT and WISE. The Lyman-α edge is at 1.06 μ in the infrared.

A Spectroscopic Redshift of z = 10.987

14 Dec 2020 - The galaxy GN-z11, previously reported as having a redshift of 11.1 ± 0.1 based on the Lyα break observed with HST, is shown to have redshifted lines using the MOSFIRE instrument at the Keck telescope, giving a redshift of 10.987. The observed lines included the doubly ionized carbon doublet at 191 nm which was redshifted to 2.28 μm. The HST has a heated mirror which reduces its sensitivity for such long wavelengths.

HolyCow! H0LiCOW gets Hubble Constant to 2.4 percent

11 Jul 2019 - Wong et al. combines time delay data from 6 quasars to get H0 = 73.3 ± 1.75 km/sec/Mpc, in agreement with the SH0ES Cepheid-based distance ladder measurement ( 74.03 ± 1.42) and disagreeing with the latest CMB model based value, H0 = 67.80 ± 0.9 km/sec/Mpc. On the other hand Freedman et al. get a distance ladder value of H0 = 69.8 ± 0.8 (stat) ± 1.7 (syst) km/sec/Mpc using the tip of the red giant branch to calibrate Type Ia supernovae.

Another Quasar Time Delay Hubble Constant

06 Sep 2018 - Birrer et al. report the time delay distance to the double imaged quasar SDSS 1206+4332 which also has an Einstein ring image of its host galaxy. They report Ho 68.8 ± 5.25 km/sec/Mpc for this object, and a weighted mean of the 4 objects studied by the H0LiCOW collaboration of 72.5 ± 2.2 km/sec/Mpc.

Claimed Signal from Cosmic Dawn

01 Mar 2018 - Bowman et al. (2018, Nature, 555, 67-70) [$] claim the detection of an absorption dip centered at 78 MHz with a width of 19 MHz and a depth of 0.5 K due to 21 cm absorption by neutral hydrogen at redshifts from 15 to 20. This is much deeper than expected for standard physics so Fialkov et al. [arxiv:1802.10577] have proposed dark matter scattering from baryons which has led to a lot of press interest. But the foreground fitting process is quite correlated with the fitted signal so the devil is in these details. The foreground at 78 MHz is 3000 times higher than the claimed signal.

New Quasar Record Redshift

06 Dec 2017 - Banados et al in Nature describe a new quasar at z=7.54. This was found using IR survey data as an IR source that was very faint optically due to absorption by neutral hydrogen at 122 nm, redshifted to a wavelength of about 1036 nm. Its designation in the AllWISE catalog is WISEA J134208.05+092837.8.

WMAP wins the Breakthrough Prize in Fundamental Physics

03 Dec 2017 - The WMAP science team won the 2018 Breakthrough Prize in Fundamental Physics. Chuck, David, Gary, Lyman and Norm looked good in tuxes.

News from the Dark Energy Survey

04 Aug 2017 - The first cosmological results of the DES have been released. The basic results paper gives limits on parameters for ΛCDM and wCDM models with variable equation of state, w. The headline results combine the lensing and galaxy clustering data from the DES with CMB data from Planck, BAO data, , and supernova data. The combined data give Ωm = 0.299(8), Ωb = 0.0479(14), Ho = 68.3 ± 1 km/sec/Mpc, and w = -1.00 ± 0.05. This is consistent with ΛCDM. The ratio of CDM to baryons is 5.24 ± 0.21. A flat Universe is assumed.

Non-news about the accelerating Universe

21 Oct 2016 - Nielsen, Guffanti & Sarkar have claimed that an improved treatment of statistics leads to a reduction of the statistical significance of the supernova evidence for an accelerating Universe, from 4 sigma using the standard analysis to 3 sigma in their new analysis. In their Figure 2, the non-accelerating Universe line touches the 3 sigma contour. In the standard analysis a similar Figure (3rd figure on my Supernova Cosmology page) shows the 4 sigma contour hitting the non-accelerating Universe line. This is not a big deal in any case, but more importantly the new statistical analysis is wrong. It assumes that the intrinsic luminosities of the supernovae in the observed sample are not correlated with their redshifts, and this assumption is easily shown to be false. The high redshift part of the JLA sample is on average brighter than the low redshift part, because distant low luminosity objects are harder to find, an effect long known to astronomers as the Malmquist bias.

Hubble Constant from Lensing Time Delay

07 Jul 2016 - The H0LiCOW project has announced a new determination of the Hubble constant from the time delays seen in strongly lensed quasars. They find H0 = 71.9+2.4-3.0 km/sec/Mpc based on three systems.

FRB redshift found

25 Feb 2016 - Keane etal. identified the host galaxy of a Fast Radio Burst, and obtained a redshift of 0.492 ± 0.008. This plus the dispersion measure gives a density for the intergalactic medium of Ω = 0.049 ± 0.013, consistent with ΛCDM expectation of 0.041.

Short GRB from GWB?

15 Feb 2016 - Connaughton et al. report a 1 second burst of gamma-rays occuring 0.4 seconds after the gravitational wave burst GWB 091416. This burst of radiation had one millionth as much energy as the gravitational wave burst. The false alarm probablity is 0.22 percent.

LIGO Detects Black Hole Merger 1.3 Billion Lightyears Away

11 Feb 2016 - LIGO, the Laser Interferometer Gravitational-Wave Observatory, has made the first direct detection of the gravitational radiation predicted by Einstein 100 years ago. Rainer Weiss was working on the technology for LIGO when I first came to MIT in 1976. The technical paper shows that a merger of two black holes of 36 and 29 solar masses occurred 410 Megaparsecs away leaving a 62 solar mass remnant, with 3 solar masses radiated away in gravitational waves. The peak strain was 10-21, and the last cycle of the signal was 7 milliseconds long. The peak luminosity was equivalent to annihilating 200 solar masses per second. The peak energy flux was about 8 erg/cm2/sec, equivalent to magnitude -14 (a little brighter than the full Moon) if this energy had come as light. The signal was seen 14 Sep 2015 at 9:50:42 UTC by both Hanford and Livingston, with a 7 ms time difference pointing to a localization on the sky covering hundreds of square degrees in the Southern hemisphere. A new window on the Universe has been opened. Papers describing the event rate based on two events, the astrophysical implications, and many other analyses are all on arxiv.org for 12 Feb 2016. They are also on the LIGO website. Press coverage: NY Times lead story with a big picture above the fold on the front page 12 Feb 2016, Washington Post, Los Angeles Times, New Yorker, CNN, NBC.

A New Galaxy Redshift Record

15 Jul 2015 - Zitrin et al have found a redshifted Lyman α line at a wavelength of 1178 nm which implies a redshift of 8.68 in the spectrum of galaxy with colors that suggested a redshift of 8.57. This now the highest spectroscopically confirmed redshift.

Darker Dark Matter?

27 Mar 2015 - Many press articles about dark matter, many with titles like "Dark matter is darker than once thought" or "Dark matter is apparently darker than we thought". Actually that depends on what you mean by "we", since the result confirms the default opinion that dark matter does not interact with itself, although some theorists hoped that it did. There is a nice study behind it, and a press release with a reasonable title: "NASA's Hubble, Chandra Find Clues that May Help Identify Dark Matter". Many more examples like the "Bullet Cluster" have been found, where the dark matter in two colliding clusters passes right through the collision without interacting. These systems are also trouble for MOND theories, since the source of gravity is not following the normal matter.

Cosmology Results from the full Planck mission.

05 Feb 2015 - Planck released its latest cosmology results today. Technical preprints are available on the arxiv. The 6 parameter Λ CDM model is an excellent fit to the Planck data.

The parameters of the 6-parameter ΛCDM model fit to Planck TT power spectrum plus the Planck measured CMB lensing are given in paper I as : ΩΛ = 0.692 ± 0.012; the baryon density = 0.4181 ± 0.0043 yoctograms per cubic meter; the cold dark matter density = 2.228 ± 0.038 yoctograms per cubic meter; CDM:baryon density ratio = 5.36 ± 0.10; dark energy density = 3352 ± 125 eV/cc; H0 = 67.80 ± 0.9 km/sec/Mpc; and the age of the Universe = 13.799 ± 0.038 Gyr. The above values are from CMB data alone. Parameters fit to the Planck data plus external datasets (BAO, SNe) are given in the last column of Table 4 in paper XIII as: ΩΛ = 0.6911 ± 0.0062; the baryon density = 0.4189 ± 0.0026 yoctograms per cubic meter; the cold dark matter density = 2.232 ± 0.019 yoctograms per cubic meter; CDM:baryon density ratio = 5.33 ± 0.06; dark energy density = 3349 ± 67 eV/cc; H0 = 67.74 ± 0.46 km/sec/Mpc; and the age of the Universe = 13.799 ± 0.021 Gyr. The baryon density is known to 0.63% precision and the cold dark matter density is known to 0.84% precision.

The dark energy density is known to 2.0% precision, assuming a flat ΛCDM Universe. For theorists who set hbar and c to 1, it works out to (2.252 meV)4. We still have no good theory to explain this value.

Limits on 1 parameter extension to the 6 parameter model are

Planck data is available at the InfraRed Science Archive (IRSA).

CMB Swirls Turn to Dust

30 Jan 2015 - A joint analysis of Planck & BICEP data shows that the previously reported detection of CMB B-mode polarization has the spectrum expected from dust in the Milky Way. Their new limit on the tensor to scalar ratio is r < 0.12 which is consistent with the limits from WMAP9 and Planck based on the angular power spectrum of the temperature anisotropy. The B-modes from lensing are well detected, and the primordial B-modes from inflation are not yet seen.

A One Percent Hubble Constant

06 June 2014 - Bennett et al. give a concordance value for the Hubble constant with a precision of one percent: Ho = 69.6 ± 0.7 km/sec. This is based on CMB data, BAO data, and direct measurements of the Hubble constant. They also find the matter density ΩM = 0.286 ± 0.008. The Cosmology Calculator has been updated to use these as default values.

Inflation Pioneers Win the Kavli Prize in Astrophysics

29 May 2014 - Alan Guth, Andrei Linde, and Alexei Starbinsky have won the 2014 Kavli Prize in Astrophysics for their theoretical work on the inflationary scenario in cosmology.

2014 Shaw Prize in Astronomy for Baryon Acoustic Oscillations

27 May 2014 - Daniel Eisenstein, Shaun Cole, and John Peacock have won the 2014 Shaw Prize in Astronomy for their work on baryon acoustic oscillations, which provide one of the most precise measures of the evolution of the Universe in modern cosmology.

First Detection of Primordial B-mode CMB Polarization

17 Mar 2014 - The BICEP2 experiment has announced a detection of a primordial polarization signal from the inflationary epoch.

Marsh etal already have a paper using this result to constrain axion dark matter on the arxiv preprint server, posted less than 5 hours after the announcement.

Update: More papers on arxiv.org discussing this result: 1, 2, 3, 4, 5, 6, 7, 8, 9, 10, 11, 12, 13 & 14; all posted within 2 days.

But I have some concerns about this result. The experimenters switched from a two frequency design to a single frequency design in order to get the highest possible signal to noise. This leaves them vulnerable to polarized foregrounds. In addition, both WMAP and Planck have placed upper limits on this signal that are lower than the claimed detection. But these upper limits are based on subtle features in the CMB angular power spectrum, so it may be the case that other parameters can be adjusted to accommodate all of these experiments.

More blogs with discussions of this result include Lumps'n'Bumps and Of Particular Significance.

Notes from the BOSS

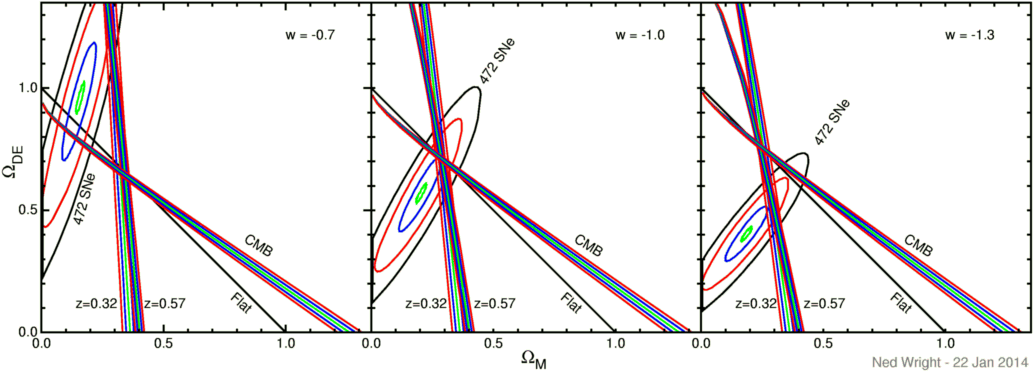
23 Jan 2014 - I have been running a bit behind in posting news, but a big dataset has returned very good information about the Universe. This is from the BOSS: Baryon Oscillation Spectroscopic Survey which is working to get redshifts for 1.5 million Luminous Red Galaxies out to redshift z = 0.7. They have a strong 10σ detection of the BAO signal and measurements of the acoustic scale length in two redshift bins centered at z = 0.32 and 0.57. These results are detailed in a paper by Anderson et al.

The thumbnail on the right is my simplified way of showing how these data, combined with the CMB measurement of the acoustic scale length at z = 1089, and the supernova measurement of the acceleration of the expansion of the Universe, provide enough information to simultaneously determine the current matter density, the current dark energy density and the rate of change of the dark energy density. The figure is labeled with the "Equation of State" w = P/ρc2 but I think a better way to think of this is in terms of the "cosmic interest rate" on dark energy density. The percentage change per unit time in the dark energy density is less than 1/3 of the Hubble rate and could well be zero, as expected for a cosmological constant.


Steady State Disproved Again and Again

11 Dec 2013 - A new preprint by Saro et al. reports on South Pole Telescope observations of the Sunyaev-Zeldovich effect cross-over frequency for cluster of galaxies versus their redshifts. The cross-over frequency is proportional to the temperature of the blackbody background that is being scattered. So if TCMB scale like (1+z) as expected, then the cross-over frequency at the cluster scales likes (1+z), but it gets redshifted which divides by (1+z), so the net effect is that the observed cross-over frequency is constant. They find that TCMB = To(1+z)1-α with α = 0.017 ± 0.029 from the SPT data alone which is 32 standard deviations away from the Steady State prediction of α = 1.

This result is very similar to a paper by Hurier et al. which used Planck data on clusters of galaxies, and obtained α = 0.009 ± 0.017 which is 58 standard deviations away from the Steady State prediction Planck has a wide range of frequencies from 30 to 857 GHz, so the cross-over at 217 GHz is easy to find, while the SPT only has 90 and 150 GHz and has to extrapolate to find the cross-over frequency but the SPT is a much bigger telescope and reaches much higher redshifts. All these results are consistent with the Big Bang model.

First detection of CMB B-mode Polarization

23 July 2013 - Hanson et al. announce the first detection of the B-mode polarization signal in the CMB. B-modes have a swirling pattern like a pinwheel. The result is at very small angular scales using the South Pole Telescope, and the signal is produced by gravitational lensing distorting the polarization produced by electron scattering (the E-mode). A distorted E-mode pattern contains a B-mode component. So this is not the primordial B-mode signal from the era of inflation, but a foreground pattern whose shape and amplitude can be definitely predicted. That prediction is now confirmed.

2013 Gruber Prize

14 July 2013 - The Gruber Prize in Cosmology goes to Viatcheslav Mukhanov and Alexei Starobinsky. Starobinsky was a pioneer in studying the inflationary scenario.

Herschel out of Helium

29 April 2013 - The European Space Agency's Herschel Space Observatory has run out of liquid helium coolant, nearly 4 years after its launch. This means that there are currently no space infrared telescopes operating at wavelengths longer than the 4.5 μm channel of the Spitzer Space Telescope.

First Cosmology Results from Planck

31 March 2013 - Planck released its first cosmology results today. Technical preprints are available here. The 6 parameter Λ CDM model is an excellent fit to the Planck data, and also to the Planck plus ACT, SPT and WMAP polarization extended CMB data, and to the CMB plus supernovae, Hubble constant and baryon acoustic oscillation data.

The parameters of the 6-parameter ΛCDM model fit to Planck+WMAP polarization+SPT+ACT+BAO are ΩΛ = 0.692 ± 0.010; the baryon density = 0.416 ± 0.0045 yoctograms per cubic meter; the cold dark matter density = 2.23 ± 0.032 yoctograms per cubic meter; CDM:baryon density ratio = 5.36 ± 0.10; dark energy density = 3352 ± 125 eV/cc; H0 = 67.80 ± 0.77 km/sec/Mpc; and the age of the Universe = 13.798 ± 0.037 Gyr. The baryon density is known to 1.1% precision and the cold dark matter density is known to 1.4% precision.

The dark energy density is known to 3.7% precision. For theorists who set hbar and c to 1, it works out to (2.25 meV)4. We still have no good theory to explain this value.

Limits on 1 parameter extension to the 6 parameter model are

Planck data is available at the InfraRed Science Archive (IRSA).

Not the Mayan Apocalypse - WMAP 9 Year Data Released

21 Dec 2012 - Bennett et al. presents the basic results, while Hinshaw et al. presents the cosmological fits. The 6 parameter Λ CDM model is still an excellent fit to the WMAP data, and also to the WMAP plus ACT and SPT extended CMB data, and to the CMB plus supernovae, Hubble constant and baryon acoustic oscillation data. The data are available now at LAMBDA. This is the last version of WMAP results. The baton is now passed on to Europe's Planck.

The parameters of the 6-parameter ΛCDM model fit to WMAP+BAO+H0 are ΩΛ = 0.712 ± 0.010; the baryon density = 0.426 ± 0.008 yoctograms per cubic meter; the cold dark matter density = 2.17 ± 0.04 yoctograms per cubic meter; CDM:baryon density ratio = 5.11 ± 0.14; dark energy density = 3607 ± 144 eV/cc; H0 = 69.33 ± 0.88 km/sec/Mpc; and the age of the Universe = 13.75 ± 0.085 Gyr. Both the baryon density and the cold dark matter density are known to 2% precision.

The dark energy density is known to 4% precision. For theorists who set hbar and c to 1, it works out to (2.3 meV)4. We still have no good theory to explain this value.

Several extensions to the 6 parameter ΛCDM are considered, but none are necessary to fit the data. The non-flat model gives Ωtot = 1.0027 ± 0.0039. This is perfectly consistent with a flat Universe.

The sum of the neutrino masses is < 0.44 eV.

The number of neutrino species is Neff = 2.83 ± 0.38 which is consistent with the standard value of 3.04 for 3 neutrino species. Update 30 Jan 2013: v2 of the papers are posted to the preprint server. With the helium abundance fixed, the number of neutrino species for the WMAP+eCMB+BAO+H0 dataset is 3.84 ± 0.40 which is consistent (at 2σ) with the standard value.

HST Claims it has Uncovered the Most Robust Sample of Distant Galaxies

12/12/12 - The Hubble Ultra Deep Field has been reobserved to greater depth in new filters in the infrared. Here are some highlights from the abstract of Ellis et al.:

To summarize, most previous claims were proven wrong, but a new sample based on the same kind of data is now presented. To be clear, the previous objects still exist but now have smaller estimated redshifts. One previously claimed object is seen again but with the redshift increased by 1.6 to 11.9. I am sure the JWST will sort this out in several years.

Update 04 Jan 2013: Brammer et al. report a tentative emission line in UDFj-39546284 at 1.599 μm, which they feel is probably [O III] at z=2.19.

New CMB Anisotropy Results from the South Pole

29 Oct 2012 - The South Pole Telescope announced new data on the small angular scale anisotropy of the Cosmic Microwave Background. Notable conclusions are:

Inaugural Milner Prizes to Guth & Linde

01 Aug 2012 - Inflation cosmology theorists Alan Guth and Andrei Linde are among the 9 winners of the first Milner Prizes to be awarded. This prize amounts to $3,000,000.

No change in fundamental constants

12 Jun 2012 - Rahmani et al. report that the ratio of the 21 cm line of hydrogen to optical line wavelengths has not changed since 9 Gyr ago. Their limit on the change in a combination of constants x = gp α2 me/ mp is -0.1+/-1.3 parts per million. This makes earlier claims unlikely, since the claimed 10 parts per million change in α would change x by 20 parts per million.

Planck warms up

13 Jan 2012 - The BBC reports that the dilution refrigerator that cools the High Frequency Instrument on the European CMB satellite Planck to 0.1 K has run out of 3He. The Low Frequency Instrument continues to operate at 4 K. The first announcement of cosmological results from Planck is scheduled for Jan 2013.

2011 Nobel Prize for Supernova Cosmology

04 Oct 2011 - Saul Perlmutter, Adam Riess & Brian Schmidt have won the 2011 Nobel Prize in Physics for their work showing the Universe is accelerating by measuring the brightness of distant supernovae. This is evidence for an energy density of the vacuum or a cosmological constant.

News of the Universe Archive

Other Good Links

Ned Wright's Home Page

Access Statistics and Awards

FAQ | Tutorial : Part 1 | Part 2 | Part 3 | Part 4 | Age | Distances | Bibliography | Relativity

© 1996-2025 Edward L. Wright. Last modified 04 June 2025